博莱特教您如何计算管道长度和压力损失
博莱特教您如何计算管道长度和压力损失
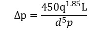
从空压机从排气口到用气设备的压缩空气的压力,由于管道长度、阀门、弯道、气流改变方向和节流上的阻力损失,压力无法得到充分的利用,造成能源浪费。因此,如何计算管道长度和压力损失,使阻力损失最小而投资最经济,变得非常重要。我们可以使用以下列公式进行计算:

式中:
△p——压降(bar)
q——容积流量(1/s)
d——管道内径(mm)
L——管道长度(m)
p——排气压力(绝对压力)(bar)(a)
当量长度表:

说明:某些管道连接件及其在不同直径管子中损失的影响,折算成当量长度,相当于增加管路的长度。
在计算压缩空气管道的各个部件时,可以采用表2许可压力降的数值,作为许可的压力降。
许可压力降表:

说明:要使空压机至最远的用气设备之间的压力降不超过0.10bar。
由此计算出管道各部件(供气管、分配管和竖管)所需的管道长度。管道长度要修正,必须添加上阀门、弯管、接头等的当量长度。计算时必须已经知道容积流、压力、许可压力降和管子长度。然后,根据最近的数值,为输气系统选用一个较大的标准管道。
例:现有一管道长23m,管子内径80mm,通过的压缩空气容积流量140L/s。管道线路中有8个弯头,弯径与内径相等,初始绝对压力为8bar。求通过管道的压降有多大?
解:已知:L1=23m;d=80mm;q=140L/s;p=8bar
首先必须求出8个弯头的当量长度,由当量长度表可以查到当量长度为1.3m,总管道长度则为:
L=1.3×8 23=33.4m
由此得出,管道总压力降为0.0054bar,符合许可压力降表要求。



