
故障现象:在发动机运转,无油螺杆空压机向储...

客户空压机房里,一台落款是“上海博莱特压缩...

在许多生产行业中都有用到空压机设备的,因为...

好的节能方案离不开我们优秀的专业人员和精准...

空压机配件也称压缩机配件比较笼统的一个词,...

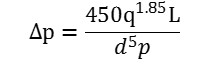
从空压机从排气口到用气设备的压缩空气的压力...

1年1度的压缩机行业盛会于2017年11月3日圆满落幕...

博莱特为江苏某锂能公司提供压缩空气解决方案...

作为动力机械的佼佼者,空压机在很多生产企业...

2017年11月27-30日,以“浦东新国际 · 智汇 跨界新...
【博莱特空压机】定盛机械版权所有 Power by bolaite
地址:上海市金山区亭枫公路6767号